Аджибадем Сити Клиник - Болница Токуда тема 36

  • 103 204
  • 1 402
  •   3
Отговори
# 810
  • Мнения: 8
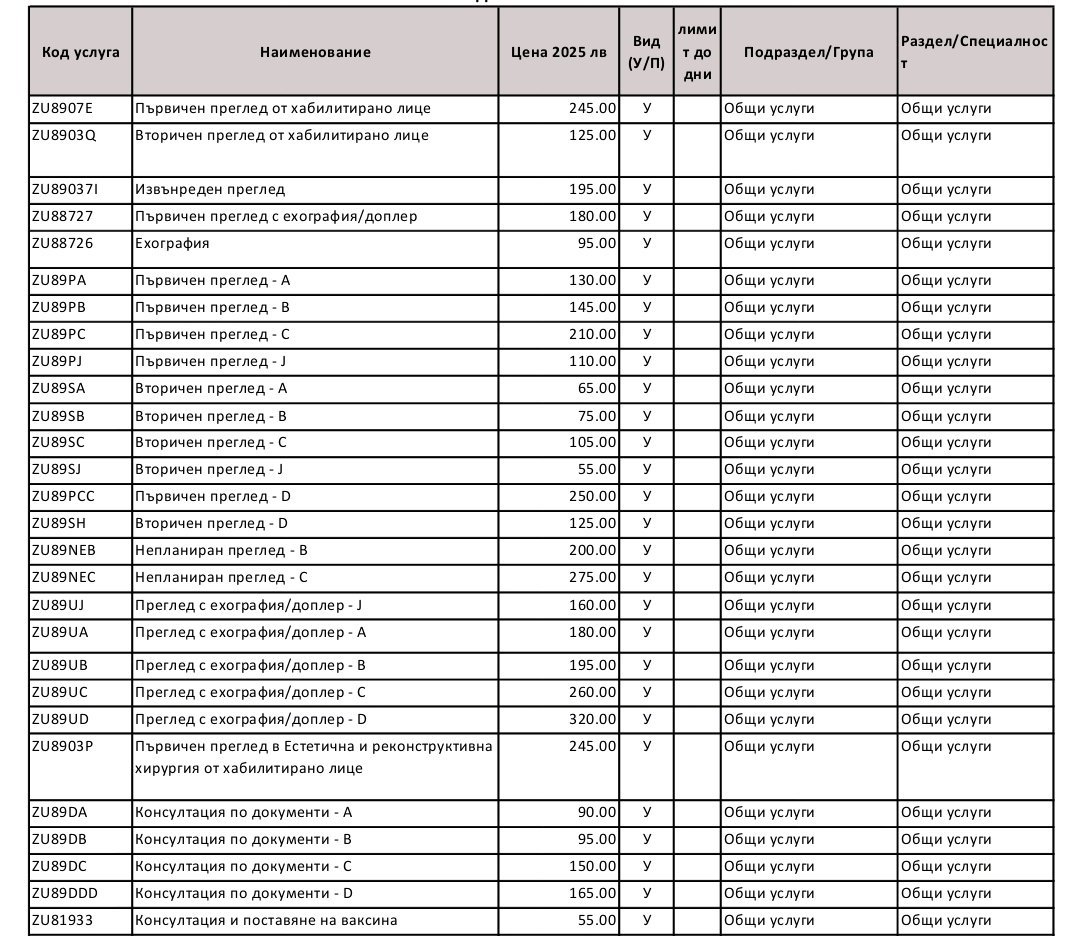
Благодаря. Не мога да се ориентирам какво съм платила, защото не е доцент или професор, но може да е било преглед и ехограф  знам ли, но определено е сложно с тез категории. Следващия път ще питам.

# 811
  • Мнения: 1 897
Извинете, но това е прекалено. Първичен преглед от доцент или професор - 245 лв.

В други болници такива прегледи се движат между 80 и 120 лв.

# 812
  • Мнения: 2 154
Извинете, но това е прекалено. Първичен преглед от доцент или професор - 245 лв.

В други болници такива прегледи се движат между 80 и 120 лв.

Всеки има право на избор. В крайна сметка ако на някой му е скъпо не е на сила там.

# 813
  • София
  • Мнения: 4 226
Това конкретно за АГ отделението ли е? Защото в други отделения разликите с предишните цени не са големи - тип 10-20лв. Миналият месец имах манипулация, за която точно толкова беше разликата в сравнено с цени от 2024г. (за дерматологично това). И само на конкретни неща са вдигнати цените. Първичен преглед например нямаше вдигната цена там (130лв).

# 814
  • Мнения: 2
Благодаря за информацията!

Между другото, аз също се следя при д-р Леков и съм изключително доволна ( за дамите, които питаха). Другата седмица имам насрочрно секцио.


Здравейте Дами! Предстои ми скоро раждане и бих се радвала, ако някой сподели как става изписването. Има ли специално място, колко души е нормално да дойдат, трябва ли да взема почерпка и колко време се отделя на всяко семейство? Какви подаръци или почерпка е удачно да се вземе за екипа в болницата?

На етажа където са диванчетата има стая за снимки за изписване. Колко души да дойдат е твой избор. Ние взехме кошница със сладки неща и солена торта. Солените неща ги предпочитат. За неонатологията ги взехме тези неща.

# 815
  • Мнения: 2 154
Благодаря за информацията!

Между другото, аз също се следя при д-р Леков и съм изключително доволна ( за дамите, които питаха). Другата седмица имам насрочрно секцио.


Здравейте Дами! Предстои ми скоро раждане и бих се радвала, ако някой сподели как става изписването. Има ли специално място, колко души е нормално да дойдат, трябва ли да взема почерпка и колко време се отделя на всяко семейство? Какви подаръци или почерпка е удачно да се вземе за екипа в болницата?

На етажа където са диванчетата има стая за снимки за изписване. Колко души да дойдат е твой избор. Ние взехме кошница със сладки неща и солена торта. Солените неща ги предпочитат. За неонатологията ги взехме тези неща.


Доктор Леков също предпочита солени неща да знаеш Blush

# 816
  • Sofia
  • Мнения: 5 120
Преди съм срещала ценоразписа с конкретни цени за всеки лекар според категорията му за всички лекари в болницата - потърсете го. Мисля, че с изключение ва доцентите в АГ не са най-високи цените, когато са ме пращали на нефролог, вътрешни, очен преди бяха по 190, а сега мисля, че са над 200.

# 817
  • Мнения: 7
Минавам да споделя, че направих първата си ФМ при др Богданова. Много ми я хвалеха и реших да запиша час при нея.
Еми не съм много доволна от поведението ѝ, не беше на професионалното ниво, което очаквах.... Платих си прегледа по ценоразпис, но не ми направи 3D, 4D, за които беше написала, че е извършила.

# 818
  • Бургас
  • Мнения: 289
Здравейте, някои може ли да ме ориентира за цените на раждане дали са ги променили и тях както и цената на тонове?
Много благодаря предварително!

# 819
  • Мнения: 124
Здравейте, някои може ли да ме ориентира за цените на раждане дали са ги променили и тях както и цената на тонове?
Много благодаря предварително!
Тоновете са по 55 лева. Цените за раждане поне миналата седмица, когато питах, не бяха променяни.

# 820
  • Мнения: 81
Здравейте, началото на февруари родих, цените на пакетите за раждане не са променяни. Тонове са 55 лева, както са ви написали.

# 821
  • Мнения: 294
Здравейте, момичета! 🌸
В 34 г.с. съм и съм се насочила към раждане в Токуда. От към 20 г.с се следя при доктор Росица Колева. Насочих се към нея след като изчетох доста позитивни коментари и прегледах експертизата й при проследяване на бременни с тромбофилия (какъвто е моят случай). Разбира се, прочетох и доста негативни отзиви по отношение на държанието й спрямо пациентите. За сега съм изключително доволна от нея като начин на проследяване и отношение към мен. Днес коментирахме начин на раждане и тя лично ме агитира за естествено раждане.
Исках да попитам, има ли някоя от Вас , която има преки впечатления от естествено раждане при нея?
Чета за някакъв нейн специализант - Мадлен Георгиева, за която не чувам нищо добро и започвам леко да се плаша. Как мога да избегна този специализант и каква е ролята му в процеса по раждане?
Простете невежеството ми, но ми е първа бременност и ще се радвам да намеря отговори на въпросите си тук Simple Smile

# 822
  • Мнения: 225
Здравейте, момичета! 🌸
В 34 г.с. съм и съм се насочила към раждане в Токуда. От към 20 г.с се следя при доктор Росица Колева. Насочих се към нея след като изчетох доста позитивни коментари и прегледах експертизата й при проследяване на бременни с тромбофилия (какъвто е моят случай). Разбира се, прочетох и доста негативни отзиви по отношение на държанието й спрямо пациентите. За сега съм изключително доволна от нея като начин на проследяване и отношение към мен. Днес коментирахме начин на раждане и тя лично ме агитира за естествено раждане.
Исках да попитам, има ли някоя от Вас , която има преки впечатления от естествено раждане при нея?
Чета за някакъв нейн специализант - Мадлен Георгиева, за която не чувам нищо добро и започвам леко да се плаша. Как мога да избегна този специализант и каква е ролята му в процеса по раждане?
Простете невежеството ми, но ми е първа бременност и ще се радвам да намеря отговори на въпросите си тук Simple Smile
Аз бих говорила директно с нея за тази специализантка. Руса и симпатична е, с права коса, слабичка. Но аз съм потърпевша и бих казала в прав текст че не я искам на раждането. Вие може да я питате дали още е в болницата и да споделите притесненията си

# 823
  • Sofia
  • Мнения: 5 120
Май няма начин да откажеш участието на специализантите.

# 824
  • Бургас
  • Мнения: 289
С първото си раждане имах да попълвам бланка и в нея имаше въпрос дали искам да присъстват стажанти на раждането и аз бях отказала но въпреки това се въртяха из стаята когато влязох да раждам.

Общи условия

Активация на акаунт