Отговори
# 600
  • Мнения: 3 482
4. Полагане sin^2 x=y
sin 2x=2sin x. cos x

 Получаваме 4у^2-5у+1=0
sin x=1, 1/2
(от 0 до пи няма как да е отрицателно.)

5. Ако СН е височина, а О център на в писаната окр., си намираме СО, ОН е =r=1
cos ACH e sin BAC. Oт О като си спуснем радиуса към АС в триъгълника ще имаме соs ACH=1/CO.
Вече знаем височината, имаме и BAC, намираме си АН=1/2АВ.
Смятаме си лицето.

6. Използваме, че 2(а^2+b^2)=d1^2+d2^2

Намираме a^2+b^2
За АВС прилагаме cos T. Като си заместим а^2+b^2 ще изразим аb.
Лицето е а.b. sin45.

7.Имаме да съобразим, че проекцията на върха върху основата е пресечната точка на диагоналите (центъра на в писаната в ромба окръжност).
Лицата на околните стени са лицата на проекциите им/соs ъгъла стена и основа.

Последна редакция: сб, 03 авг 2024, 19:05 от solnichka

# 601
  • Мнения: 1 101
solnichka, сърдечни благодарности!
Ако може, бих помолила и за насоки и за тези задачи -


Благодаря
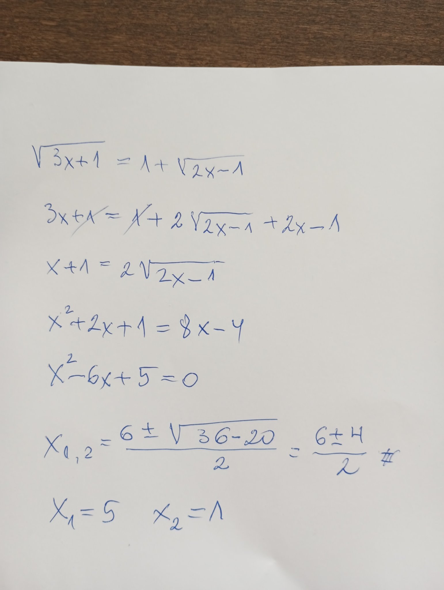
За първото уравнение това ли е решението?
(x-3).(x-1).(x^2+3.x+3)/x.(x^2+3) =0
x-4.x+3=0
x=1
x=3

Последна редакция: сб, 03 авг 2024, 20:24 от smilinglady

# 602
  • Мнения: 9 115
За първото полагате (х^2+3)/х=А
а - 12/а - 1 = 0

# 603
  • Мнения: 1 101
Ние все още мислим задачките, ще се радваме, някой да ни насочи към вярното решение Heart
Искрени благодарности към всички, които помагат

# 604
# 605
  • Мнения: 9 115
W, по-лесно е да се прехвърли единият корен от дясно и няма да има нужда от полагане. Ако можеш, моля те разпиши я, аз не мога сега.

# 606
  • Мнения: 6 774
Ами да. За по-лесно съм го решила по дългия начин.Stuck Out Tongue Winking Eye
Ето

Пример в е видно, че няма решение, защото изразите в скобите каквито и да са, са на втора степен, т.е. положителни или 0, така че, събрани с 1 , не могат да дадат 0.

# 607
  • Мнения: 131
Момичета воля за помощ за 9 задача, не мога да се сетя колко са половината изядени, сигурно нещо пропускам

# 608
  • Мнения: 3 482
Не ми се получава да прочета задачата.

И малко смях: https://www.nenovinite.com/ne/neuka/otmenyat-matematikata-v-uchi … kulatori-v-dzhoba

# 609
  • Мнения: 131

7 задача, не мога да разбера колко са половината изядени бонбони, нещо пропускам явно

# 610
  • Мнения: 6 909
Разбийте го на стъпки и за всяка стъпка съставяйте уравнение. Или отначало нещо като таблица:

Иво и Пешо си купили общо 30 бонбона.
П            И
x            30 - х
Най-напред Пешо дал половината от своите бонбони на Иво.
П          И
x/2      30 - х + х/2 = 30 - х/2
След това Иво изял 4 бонбона
П          И
x/2      30 - х/2 - 4 = 26 - х/2
и половината от останалите си бонбони
П                       И
x/2               (26 - х/2)/2 = 13 - х/4
и след това дал два бонбона на Пешо.
П                       И
x/2 + 2           13 - х/4 - 2 = 11 - х/4
Така бонбоните на двамата се изравнили.
x/2 + 2 = 11 - х/4

x/2 + х/4 = 11 - 2
3х = 36
х = 12

Колко бонбона е имал всеки от тях в началото?
П            И
12          18

# 611
  • Мнения: 9 488
Тези задачи са за по-малки и не се решават с дроби Hands V
Т.нар. "рачешки задачи" и се решават отзад напред...
Утре ще разпиша, като намеря малко време Simple Smile

ПП:Тръгваме стъпките отзад напред
Петър има х бонбона
Иван има х бонбона

Петър е получил 2 бонбона на предходната стъпка, значи преди нея е имах х-2 бонбона,
а Иван след яденето и преди предаването на бонбони е имал х+2 бонбона

Още стъпка назад, Петър нищо не прави, Иван яде Simple Smile двуетапно...
тези х+2 са му останали, а тоя яде "половината от станалите", следователно е имал 2(х+2), след яденето на 4 бонбона...
преди да яде тези 4 е имал 2(х+2)+4

и стигнахме до първата стъпка след началото
Петър е дал половината и е останал с (х-2), следователно в началото е имал 2(х-2) бонбона
Иван е получил тези (х-2) и след получаването им е бил с 2(х+2)+4, следователно в началото е имал 2(х+2)+4-(х-2)
Сумата на тези начални бонбони е равна на 30
2(х-2)+2(х+2)+4-(х-2)=30
х=8

Петър е имал в началото  2(х-2)=12
Иван 2(х+2)+4-(х-2)=х+10=18

Всичко това може да се представи графично с "блокчета" и "рязане" и местене със стрелкички Wink

Последна редакция: вт, 20 авг 2024, 12:23 от peneva_a

# 612
  • Мнения: 48
Здравейте! Може ли помощ за следната задача?

# 613
  • Русе
  • Мнения: 12 214
Здравейте! Може ли помощ за следната задача?
  x - страна на ромб
основа на триъгълника - 0.45*x
бедро на триъгълника - 0.55 * 4 *x
0.45*x + 2 * 0.55 * 4 *x = 485 sm
x *4.85 = 485
x = 100 sm

# 614

Общи условия

Активация на акаунт