Отговори
# 255
  • Мнения: 80
Здравейте! Моля за помощ за следните задачи от ДЗИ 12 клас по профил. ,

# 256
  • Мнения: 3 539
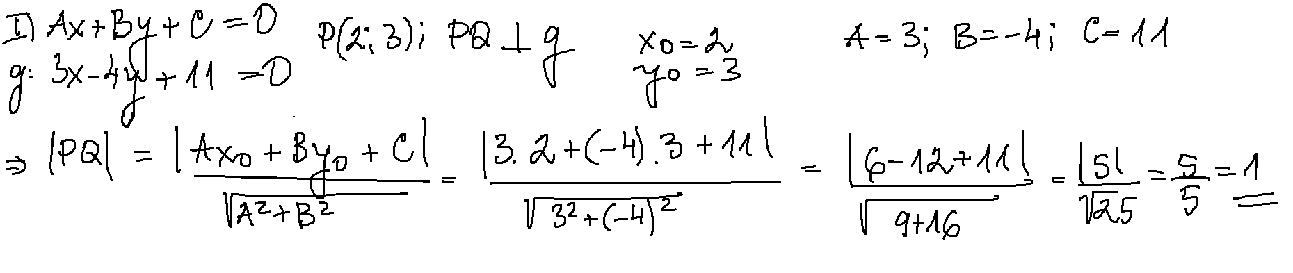
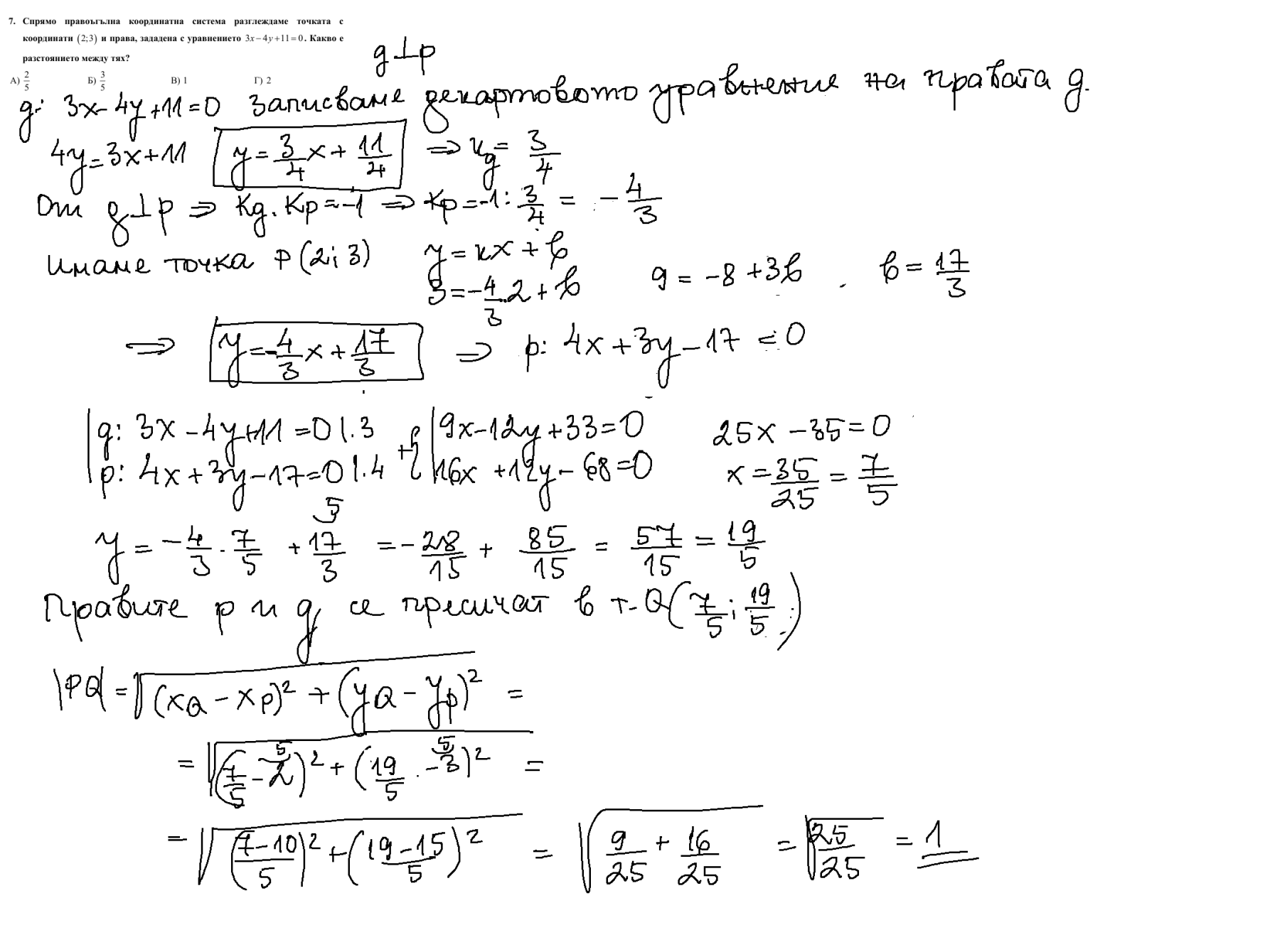
Разстоянието е това от точката към петата на перпендикуляра.
Правата сключва ъгъл с  абсцисата с tg 3/4. Перпендикулярна на нея ще сключва tg = -4/3.
Намираме права с k=-4/3 и минаваща првз т. (2;3).
Намираме пресечната точка на двете прави и разстоянието от т. (2;3) до нея е търсеното разстояние.

# 257
  • София
  • Мнения: 20 073
На втората  е Б, след малко ще я разпиша Simple Smile

Последна редакция: вт, 06 май 2025, 14:18 от Просто русалка

# 258
  • Мнения: 623
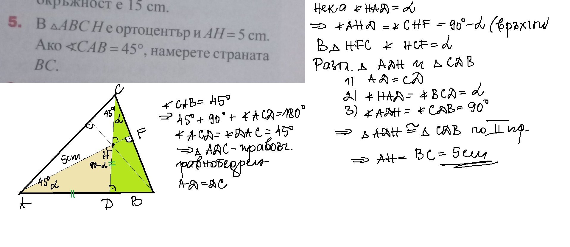
Може ли помощ за задача 5 за 8 клас , в случай, че триъгълникът  е остроъгълен ?

# 259
  • София
  • Мнения: 20 073

Задачата на практика се решава изцяло с материал  за 7 клас, но е  сложена за осми заради  ортоцентъра.

# 260
  • Мнения: 80
Разстоянието е това от точката към петата на перпендикуляра.
Правата сключва ъгъл с  абсцисата с tg 3/4. Перпендикулярна на нея ще сключва tg = -4/3.
Намираме права с k=-4/3 и минаваща првз т. (2;3).
Намираме пресечната точка на двете прави и разстоянието от т. (2;3) до нея е търсеното разстояние.
solnichka, благодаря ти, аз го уж правя така, но някъде бъркам и не получавам нито един от дадените отговори.

Просто русалка, благодаря ти, разбрах логиката! Мисля, че никога не съм го учила това и даже и нямаше да ми хрумне! Ще намеря подобни задачи Heart

# 261
  • София
  • Мнения: 20 073
Емма, отговорът е В. Има и директна формула за намирането на разстояние от точка до права.

# 262
  • Мнения: 80
Емма, отговорът е В. Има и директна формула за намирането на разстояние от точка до права.


Много благодаря! Това е съвсем друг и много по - лесен начин, от този който аз използвах!

# 263
  • Мнения: 3 539
То това се извежда от "сложния" начин.
Няма я тази формула в листите, които получават на ДЗИ.
Ако се запомни, ще е помощ за 1 модул. Във втори според мен трябва да се разпише решение. Сега погледнах в учебника на Регалия, че това е решена задача. Няма теорема затова.

# 264
  • София
  • Мнения: 20 073
Солничка, аз все пак написах И още един вариант предвид точно това, че задачата е за заграждане. Спестяват се  сметки, не  става дума за сложен и лесен начин..... Иначе ето, Емма, и пълно решение Simple Smile

Можем, разбира се, и без системата да намерим х, приравнявайки десните страни на двете декартови.

Последна редакция: ср, 07 май 2025, 00:11 от Просто русалка

# 265
  • Мнения: 1 109
Моля за помощ за тази задача:
Ако "а" е произволно цяло число, докажете, че а на степен 3 минус а се дели на 6.

# 266
  • Мнения: 76 262
Моля за помощ за тази задача:
Ако "а" е произволно цяло число, докажете, че а на степен 3 минус а се дели на 6.

С помощ от гугъл

# 267
  • Мнения: 1 109
Мерси. До разлагането и делимостта на 2 стигнах и аз. Не мога да си обясня защо в редица от 3 последователни числа едното винаги се дели на 3. Chat gpt говори за връзка с признака за делене на 3, но в тетрадката на детето той е, че сборът на последните 2 цифри трябва да се дели на 3 и не виждам връзката

# 268
  • Мнения: 9 130
Признак за делене на три е сборът от цифрите да се дели на три. Например 123 - 1 + 2 + 3 = 6 дели се на три 123 : 3 = 41.
А за самата задача - числата са три поредни, значи едното задължително  се дели на три. Например 2, 3, 4 или 11,12, 13.

# 269
  • София
  • Мнения: 20 073
Мерси. До разлагането и делимостта на 2 стигнах и аз. Не мога да си обясня защо в редица от 3 последователни числа едното винаги се дели на 3. Chat gpt говори за връзка с признака за делене на 3, но в тетрадката на детето той е, че сборът на последните 2 цифри трябва да се дели на 3 и не виждам връзката
Разгледайте  редицата от естествени числа -1, 2, 3,4, 5, 6, 7, 8, 9, 10,11, 12, 13,14, 15....Всяко трето видно се дели на 3.

Общи условия

Активация на акаунт