Отговори
# 270
  • Мнения: 9 519
Ако чак пък толкова искате да го опишете, как винаги едно от 3 поредни цели числа се дели на 3, нека го опишем:
За n има точно 3 варианта
1) дели се на 3, следователно е от вида n=3k (k цяло число)
n-1=3k-1
n=3k
n+1=3k+1

2) не се дели се на 3, подвариант n=3k+1
Поредността става
n-1=3k
n=3k+1
n+1=3k+2


3) не се дели се на 3, подвариант n=3k+2
Поредността става
n-1=3k+1
n=3k+2
n+1=3k+3=3.(k+1)

И в трите показани случая, очевидно има по един член на произведението който се дели на 3, а k е произволно цяло число, т.е. това, че произведението на 3 поредни цели числа винаги се дели на 3 е вярно за всички цели числа.

# 271
  • Мнения: 17 423
Моля за помощ за тази задача:
Ако "а" е произволно цяло число, докажете, че а на степен 3 минус а се дели на 6.
Къде в задачата пише за произведение на три поредни числа?
(а³ - а ) : 6 според мен трябва да се докаже. Където а е произволно цяло число.
И да, така се получава:
а = 2
(2³ - 2) = 8-2= 6
(3³-3) = 27-3= 24
и т.н

# 272
  • Мнения: 9 519
Моля за помощ за тази задача:
Ако "а" е произволно цяло число, докажете, че а на степен 3 минус а се дели на 6.
Къде в задачата пише за произведение на три поредни числа?
(а³ - а ) : 6 според мен трябва да се докаже. Където а е произволно цяло число.
И да, така се получава:
а = 2
(2³ - 2) = 8-2= 6
(3³-3) = 27-3= 24
и т.н
Нагоре беше решено, не да се проверява
а3-а=а(а2-1)=а.(а-1)(а+1)=(а-1).а.(а+1)
което си е произведение на 3 поредни цели числа...

# 273
  • Мнения: 76 266
Разлагаш го на множители числото.

# 274
  • Мнения: 20 036
Може ли помощ за тези задачи за 11 клас. Ако има нужда, ще ги преведа.

# 275
  • София
  • Мнения: 20 073
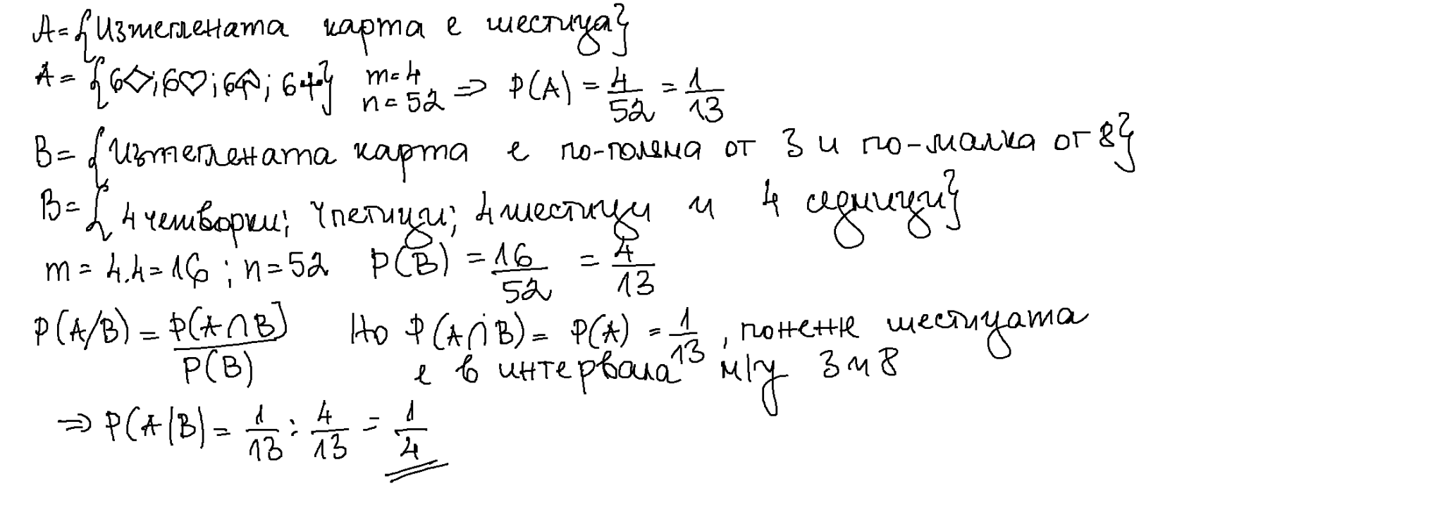
6).
А= { изтегляме билет и той е печеливш}
P(A) = m/n = 180/1000=18/100 =9/50
B={изтегляме следващия билет и той е пак печеливш}
P(B)=m/n= 179/999
=> 9.179/50.999 = 179/50.111 =179/5550

5).


Дано и друг да се включи, че комбинаториката принципно си е ...забава, ха ха.

Последна редакция: ср, 07 май 2025, 22:17 от Просто русалка

# 276
  • Мнения: 20 036
Русалка, много благодаря!
Щерката сега каза отговорите.
5. 1/5, 6. 17/5550
Според нея са печатни грешки.
Едната я решила по същия начин и получила твоя отговор.

# 277
  • Мнения: 12
Моля за помощ за задача 7! Урокът се казва “Успоредност в пространството. Успоредност на права и равнина”.
Благодаря предварително!

# 278
  • Мнения: 17 423

Момичета, искам да помоля математиците в темата за решение и обяснение на тези задачи. Математика, 8 клас, ама на мен повече ми приличат на физика, а там съм гола вода. Детето търси за помощ чат джи пи ти, но поне да сверя решението .

# 279
  • София
  • Мнения: 1 590

Момичета, искам да помоля математиците в темата за решение и обяснение на тези задачи. Математика, 8 клас, ама на мен повече ми приличат на физика, а там съм гола вода. Детето търси за помощ чат джи пи ти, но поне да сверя решението .

1 зад

S = g.t^2/2

S = 300 m, g = 9,81 m/s^2

замествате и решавате, приблизително t = 8 s

Последна редакция: сб, 10 май 2025, 14:54 от buty

# 280
  • Мнения: 236
Много моля за помощ за задача за 7 ми клас.

# 281
  • Мнения: 9 130
Много моля за помощ за задача за 7 ми клас.

# 282
  • Мнения: 236
Много моля за помощ за задача за 7 ми клас.


Много благодаря на Dincho 🍀

# 283
  • В Страната на чудесата
  • Мнения: 408
Мама Ру, за 4-та задача се вижда на снимката ти, че в самия учебник е дадена формулата за намиране на броя на диагоналите и с нейна помощ е решена подобна задача.

(n.(n-3)) / 2 = 54
n.(n-3) = 108
n² - 3n - 108 = 0
Намирате корените на квадратното уравнение и тъй като само един от тях е положително число, то това е и търсеният отговор. За втората подточка - аналогично.

Сигурна съм, че нагоре в урока е обяснено и за другите задачи как се решават. Нищо сложно.

# 284
  • Мнения: 17 423
Алисса, благодаря, но за мен вече е сложно, особено предвид възрастта, откъсването от математиката, умората. Не винаги мога да се съсредоточа и проумея сегашните учебници какво се мъчат да обяснят. А детето ми е с дислексия и дискалкулия, за нея е още по-сложно. Дотук общо взето с малко помощ от форума се справях да й помагам, но вероятно ще се наложи и професионална помощ. Задачата за диагоналите например. По моята логика е диагоналите * 2= страните на многоъгълника, но явно греша някъде.

Общи условия

Активация на акаунт