Отговори
# 300
  • Мнения: 9 519
Здравейте!
Моля за решение на тази задача за 8кл

Турист 1 се движи със скорост V1
Турист 2 се движи със скорост V2
До срещата Турист 1 изминава път S, Турист 2 път S-2км. (Търсим разстоянието АВ=S+S-2=2.S-2)
До срещата се движат едно и също време
t1=t2
S/V1=(S-2)/V2
След срещата Турист 1 изминава път S-2 (оставащият му път), Турист 2 път S км.
Движат се със същата си скорост, но Различно време
(S-2)/V1=40/60  (от тук V1=3/2S-3)
S/V2=1 30/60 (oт тук V2=2/3S)

Замествваме V1 и  V2 wв уравнението горе и стигме до квадратно уравнение за S
5S2-27S+18=0
с решения S1=4,8km и S2=0,6km
Но S>2км, по условие (S-2>0) и S=4,8km
AB=4,8 . 2 - 2=7.6 km

След малко ще сложа табличка, както обичайно описват решението.



Проверете ми сметките Wink

Последна редакция: вт, 13 май 2025, 11:56 от peneva_a

# 301
# 302
  • Мнения: 29 622
Благодаря ви! Ще разгледам по-късно решенията, защото нещо ми липсваше

# 303
  • София
  • Мнения: 20 073
Peneva, решенията ни са еднакви по същество, избрали сме просто обратните отсечки за S (респективно х). Simple Smile
Понеже  си писала директно какво е кв. уравнение (без да ги има опростяванията), нямам идея къде точно си сгрешила в сметките. Но въпросното уравнение при твоя избор на неизвестно е:

# 304
  • Мнения: 9 519
Здравейте!
Моля за решение на тази задача за 8кл

Скрит текст:
Турист 1 се движи със скорост V1
Турист 2 се движи със скорост V2
До срещата Турист 1 изминава път S, Турист 2 път S-2км. (Търсим разстоянието АВ=S+S-2=2.S-2)
До срещата се движат едно и също време
t1=t2
S/V1=(S-2)/V2
След срещата Турист 1 изминава път S-2 (оставащият му път), Турист 2 път S км.
Движат се със същата си скорост, но Различно време
(S-2)/V1=40/60  (от тук V1=3/2S-3)
Скрит текст:
S/V2=1 30/60 (oт тук V2=2/3S)

Замествваме V1 и  V2 wв уравнението горе и стигме до квадратно уравнение за S
5S2-27S+18=0
с решения S1=4,8km и S2=0,6km
Но S>2км, по условие (S-2>0) и S=4,8km
AB=4,8 . 2 - 2=7.6 km
След малко ще сложа табличка, както обичайно описват решението.



Проверете ми сметките Wink
Ей тук е грешката
V1=3/2(S-2)
и оттам сметките както ме е поправила Русалка Hands V

# 305
  • Мнения: 63
Здравейтe, може ли помощ на задача 2 последните 4 подточки. Задачите са от 8клас

# 306
  • София
  • Мнения: 2 571
Здравейте, детето и учителката му в школата не могат да решат задача 3, става дума за шести клас. Аз нямам никакви знания. Дали е по възможностите на форума? Благодаря!

# 307
  • Мнения: 9 130
Little Evil,

Това някаква шега ли е за учителката, която не може?
Свързвате т.М  с А, B, C, D. Имате четири триъгълника, на които знаете страна и височина към нея. Намирате лицата им, събирате ги и получавате лицето на основата.  Обемът е лицето на основата по околния ръб.

# 308
  • София
  • Мнения: 5 557
Лицето на основата е сбор от лицата на триъгълниците, които се получават.

# 309
  • Мнения: 932
Little Evil,
знаете дължините на страните и разстоянието на точка М до всяка страна = височината в съответния триъгълник (ABM, BMC, CMD, DMA),  можете да намерите лицето на четирите триъгълника по формулата S=a.h/2,  SABM=5.1/2=2,5 cm2 и така за останалите триъгълници, събирате лицата и намирате лицето на четириъгълника, който е основата. Умножавате по дължината на околния ръб и намирате обема.

Zlatanova_i ,
използват се формулите x2-1=(x-1)(x+1) и x3-1=(x-1)(x2+x+1)

# 310
# 311
  • Мнения: 33


Здравейте, моля за помощ за тази задача за 10 клас.

# 312
  • София
  • Мнения: 2 571
Много благодаря на всички отзовали се! Това за учителката не е шега.

# 313
  • Мнения: 9 130


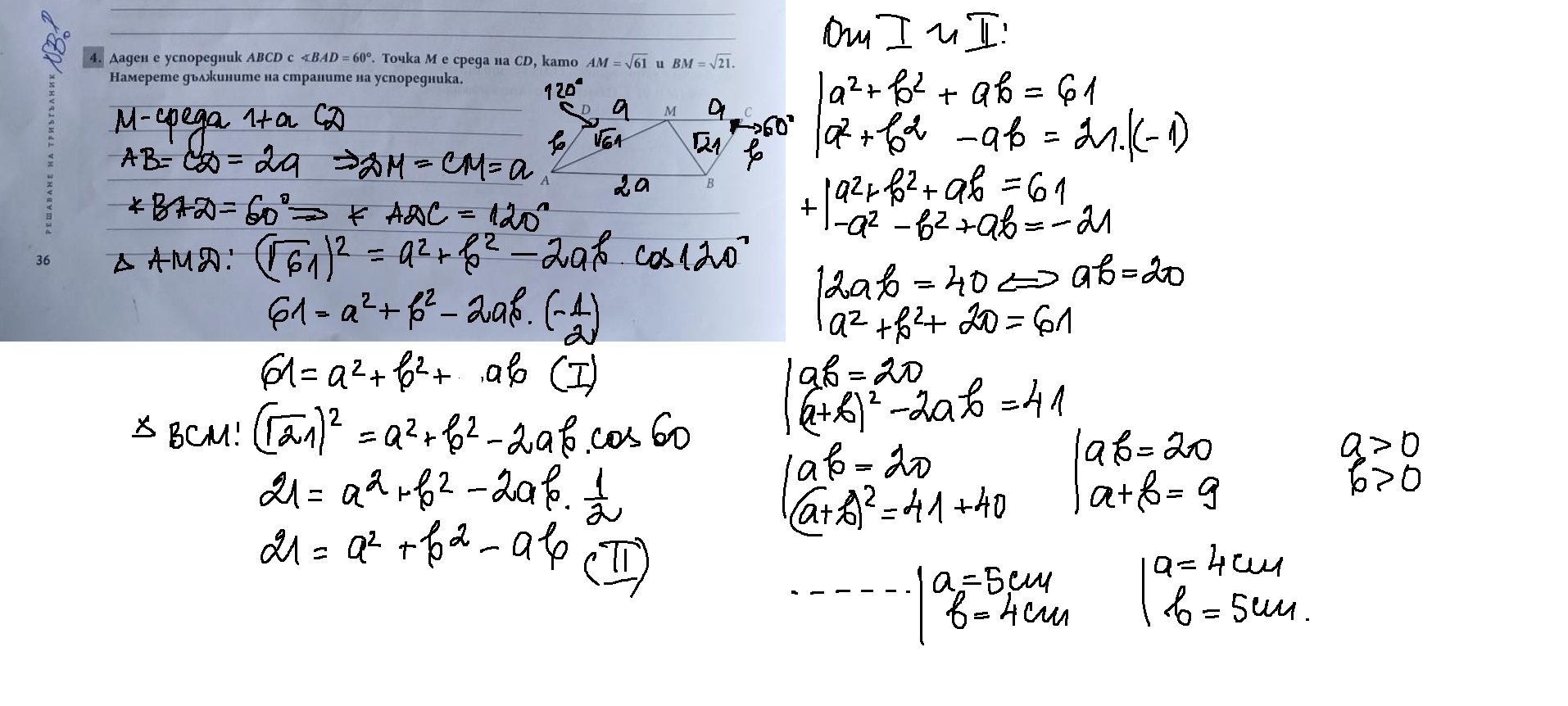
Здравейте, моля за помощ за тази задача за 10 клас.

Успоредник, единият ъгъл е 60, другият 120. AB=DC=2a, BC=AD=b. Косинусова теорема за триъгълници AMD и BCM.
61 = a^2 + b^2 - 2ab.cos120
21 = a^2 + b^2 - 2ab.cos60
Събираме ги и получаваме a^2 + b^2 = 41
Заместваме в едно от горните уравнения a^2 + b^2 =41 и получаваме за ab=20
Вече имаме система  уравнения, решаваме я и получаваме - а1=4, b1=5, a2=5, b2=4.
Възможните отговори са:
b=5, 2a = 8 или b=4, 2a=10

# 314

Общи условия

Активация на акаунт