Отговори
# 510
  • Мнения: 983
Много благодаря, Ант12. Не ми стана много ясно защо разглеждаме делене на 3 с остатък.
И моля за още една, която ми се струва интересна:


Ще приема въпроса като: „Как точно се сещам, че трябва да разгледам задачата от гледна точка на остатъците, които p дава при деление на 3?

Стъпка 1: Нека си „поиграем“ с малките прости числа за да видим дали има някаква закономерност и да формулираме някаква хипотеза.

При p = 2, числата 2 + 10, 2 + 20, 2 + 4, 2 + 14 не са прости.

При p = 3, всички числа 3 + 10, 3 + 20, 3 + 4, 3 + 14 са прости.

При p = 5, числата 5 + 10, 5 + 4 не са прости.

При p = 7, числата 7 + 20, 7 + 14 не са прости.

При p = 11, числата 11 + 10, 11 + 14 не са прости.

При p = 13, числата 13 + 20, 13 + 14 не са прости.

При p = 17, числата 17 + 10, 17 + 4 не са прости.

При p = 19, числата 19 + 20, 19 + 14 не са прости.

Аха-а-а . . .

Стъпка 2: Формулираме хипотеза: Единственото просто число, за което числата p + 10, p + 20, p + 4, p + 14 също са прости е p = 3.

Стъпка 3: Проверяваме хипотезата.

Въпрос: Какво е общото между всички прости числа по-големи от 3?

Отговор: Не се делят на 3.

Въпрос: Има ли някакъв обобщен начин, по който да представим всички прости числа по-големи от 3?

Отговор: Има, те могат да се представят или като 3k + 1 или като 3k + 2 и т.н.


Сега към задачата.

Отговор: k = 3

Ще означаваме броя камъни в първата, втората и третата кутия с (1, 2, k).

При (1, 2, 0) първият винаги печели. Първият взима 1 камък от кутията с два камъка – (1, 1, 0). Вторият взима 1 камък – (1, 0, 0) или (0, 1, 0). Първият взима последния камък и печели.

При (1, 2, 1) първият винаги печели. Първият взима 2 камъка от кутията с 2 камъка – (1, 0, 1). Вторият взима 1 камък – (1, 0, 0) или (0, 0, 1). Първият взима последния камък и печели.

При (1, 2, 2) първият винаги печели. Първият взима 1 камък от кутията с един камък - (0, 2, 2). Ако вторият вземе 2 камъка - (0, 0, 2) или (0, 2, 0), първия взима другите 2 и печели. Ако вторият вземе 1 камък - (0, 1, 2) или (0, 2, 1), първия също взима 1 - (0, 1, 1) и от тази позиция винаги печели.

При (1, 2, 3) вторият винаги печели. Ще разгледаме всички възможни варианти.

(1, 2, 3) – I – (0, 2, 3) – II – (0, 2, 2) – от тази позиция вторият винаги печели (по начина, по който първия печели, описан по-горе).

(1, 2, 3) – I – (1, 1, 3) – II – (1, 1, 0) – от тази позиция вторият винаги печели.

(1, 2, 3) – I – (1, 0, 3) – II – (1, 0, 1) – от тази позиция вторият винаги печели.

(1, 2, 3) – I – (1, 2, 2) – II – (0, 2, 2) – от тази позиция вторият винаги печели.

(1, 2, 3) – I – (1, 2, 1) – II – (1, 0, 1) – от тази позиция вторият винаги печели.

(1, 2, 3) – I – (1, 2, 0) – II – (1, 1, 0) – от тази позиция вторият винаги печели.

При (1, 2, k), k ≥ 4, първият винаги печели. Първият взима k – 3 камъка от третата кутия – (1, 2, 3). При тази позиция вторият е в ролята на първия от предходния случай и следователно, винаги губи.

Последна редакция: чт, 04 ное 2021, 23:33 от Ant12

# 511
  • София
  • Мнения: 518
Много благодаря, Ант12. ...
И моля за още една, която ми се струва интересна:

Намерих линк към отговора тук: https://danybon.com/obrazovanie/ivan-salabashev-2017/
И това е отговорът /виж последната задача/, който са дали съставителите -
https://docs.wixstatic.com/ugd/5200a4_57186d998059479289e9c85bd083a6ae.pdf

По причина на  двусмислено дефинирана задача, рових в архивите на този турнир преди време .

# 512
  • Мнения: 2 943
8клас, медиана в △:

В △ABC с медицентър М продължете медианата CC1 до точка N, така че C1N=MC1. Докажете, че:
а/ страните на △AMN са равни на 2/3 части от медианите на △ABC.
b/медианите на △АМN са равни на 1/2 части от страните на △ ABC.
в/ лицето на △AMN е 3 пъти по-малко от лицето на △ABC.

# 513
  • Мнения: 5 234
Ant12 и xxxxxx, много благодаря!
Страхотни сте! Flowers Rose

# 514
  • Мнения: 9 240
8клас, медиана в △:

В △ABC с медицентър М продължете медианата CC1 до точка N, така че C1N=MC1. Докажете, че:
а/ страните на △AMN са равни на 2/3 части от медианите на △ABC.
b/медианите на △АМN са равни на 1/2 части от страните на △ ABC.
в/ лицето на △AMN е 3 пъти по-малко от лицето на △ABC.

Медицентърът разделя медианите в отношение 2:1, считано от върха към средата на срещуположната страна.
а/ СМ = 2/3 СС1, МС1 =1/3 СС1 = C1N, MN = 2/3 CC1
AM = 2/3 AA1
△ANC1 еднакъв с △С1ВM (ъгъл АС1N = BC1M; C1N=MC1; AC1= C1B)
AN = MB = 2/3 BB1

b/ AC1 е медиана и e 1/2АВ
△NN1M еднакъв с △MA1C (ъгъл АMN = A1MC; MA1=MN1; CM= MN)
NN1=CA1 = 1/2 BC
△MM1N еднакъв с △MB1C (ъгъл BMC = C1MB = ANM от еднаквите △ANC1 и △С1ВM ; M1N=B1M; CM= MN)
M1N = B1C = 1/2 AC

в/ Медианата разделя лицето на триъгълника на 2 равни части
лицето на △ABC = 2* лицето на △ACC1 = 2* CC1 * AH/2 = CC1*AH
лицето на △AMN = MN*AH/2 = 2/3 CC1 * AH/2 = 1/3  CC1*AH = 1/3 лицето на △ABC

# 515
  • София
  • Мнения: 20 167
8клас, медиана в △:

В △ABC с медицентър М продължете медианата CC1 до точка N, така че C1N=MC1. Докажете, че:
а/ страните на △AMN са равни на 2/3 части от медианите на △ABC.
b/медианите на △АМN са равни на 1/2 части от страните на △ ABC.
в/ лицето на △AMN е 3 пъти по-малко от лицето на △ABC.

# 516
  • Мнения: 4 544
аз срам,не срам, пак да попитам за решение на тази задача-8 клас, не мога да я измисля

# 517
  • Мнения: 2 943
Дами - Dincho, пенсионирана русалка - сърдечно благодаря. Simple Smile

# 518
  • Мнения: 983
аз срам,не срам, пак да попитам за решение на тази задача-8 клас, не мога да я измисля


# 519
  • София
  • Мнения: 2 828
Дидева,
Много благодаря за задачите за 11 клас!

# 520
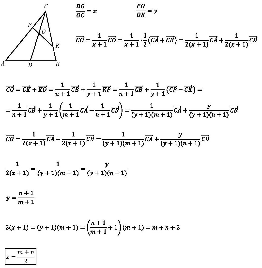
  • Мнения: 4 544
Ant много благодаря, утре ще я разгледаме със сина
Само да попитам СО=(1/х+1)СD откъде идва?

# 521
  • Мнения: 983
Ant много благодаря, утре ще я разгледаме със сина
Само да попитам СО=(1/х+1)СD откъде идва?

# 522
  • София
  • Мнения: 2 676
Може ли помощ за подточка "в". Формулата за определяне броя на клечките e  M=3n+1.  Аз смятам така -  всяка двойка фигури - първа -осемдесета; втора-седемдесет и девета и т.н. имат по 245 клечки, 40 двойки по 245 = 9800. Отговорът е 11050. Не мога да разбера къде греша.

# 523
  • София
  • Мнения: 20 167
Просто е сгрешено, този брой клечки ще е при налични 85, а не 80 фигури.
Клечките в 85-тата  фигура ще са = 3.85+1= 256
Тогава всички използвани клечки ще са  сбор от 42. 260 + 1.130 = 11050

# 524
  • София
  • Мнения: 2 676
Благодаря, а защо  "сбор от 42. 260 + 1.130", а не 245?
 редактирам се - разбрах Laughing

Последна редакция: сб, 06 ное 2021, 01:02 от sali

Общи условия

Активация на акаунт