Отговори
# 480
  • Мнения: 9 936


Здравейте!
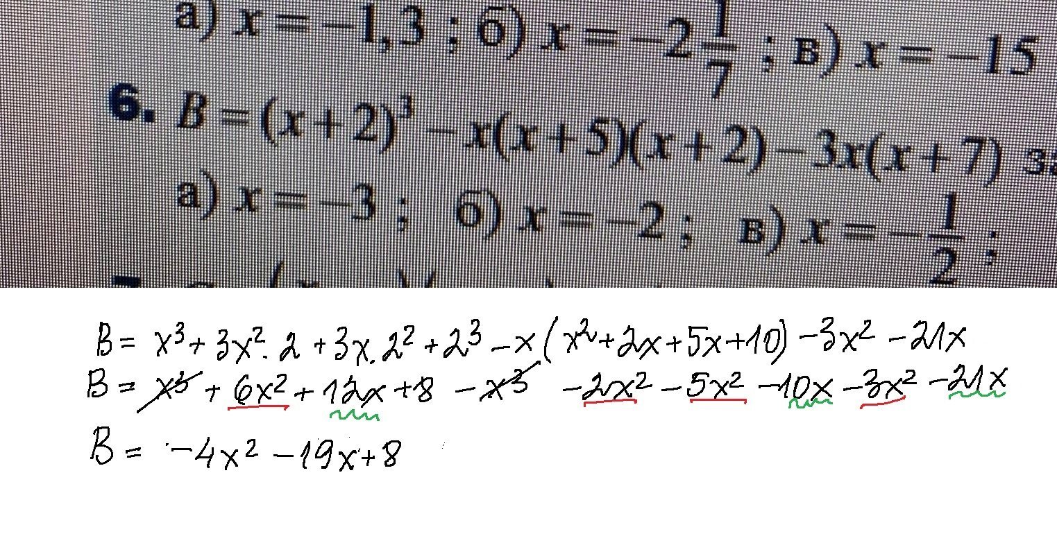
Моля за малко помощ за шеста задача за уравнението В.
Нещо не се получава.

# 481
  • София
  • Мнения: 20 169


Utro,това не е уравнение, че да се получи корен, ако това имаш предвид под "не се получава". Това е многочлен, който се привежда най-напред в нормален вид и след това в него променливата се замества с дадените стойности.

Последна редакция: ср, 27 окт 2021, 12:40 от пенсионирана русалка

# 482
  • Мнения: 9 936
пенсионирана русалка, благодаря!

Аз получавам същото, но някъде ми се губи една десятка и получавам 9х, а не 19х.
Това е верния отговор, благодаря!

Всъщност не ми се губи. Аз съм я изпуснала в самото пресмятане.
Ужасно дълги тия задачи, с толкова знаци, направо се изнервих.

Последна редакция: ср, 27 окт 2021, 13:22 от utro77

# 483
  • Мнения: 58
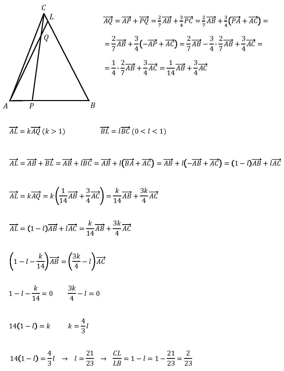
може ли помощ за 8 клас, вектори

# 484
  • Мнения: 983
може ли помощ за 8 клас, вектори




P.S. Накрая на решението има грешка.

От l = 21/23 следва, че LB/BC = 21/23 или CL/LB = 2/21.

Последна редакция: пт, 29 окт 2021, 21:34 от Ant12

# 485
  • Мнения: 58
Благодаря' това материал за 8 клас ли е?

# 486
  • Мнения: 126
Здравейте, имам нужда от помощ! Не мога да разбера последните стойности как се получават. Пример: алтернативен разход на Хил. Тона потребителски стоки - 0,14; 0,17; 0,20 и т.н.

# 487
  • Мнения: 2 928
1/7=0,14, 1/6=0,16, 1/5=0,2 и т.н.
За първите хиляда тона машини се произвеждат 7 хиляди тона потребителски стоки. За вторите хиляда тона- 6 хиляди тона потребителски стоки (13-7) и т.н.
П.п. закръглени са явно до втория знак след десетичната

# 488
  • Мнения: 983
Благодаря' това материал за 8 клас ли е?

За съжаление, нямам идея, в кой клас се учат вектори и дали горното решение е подходящо за 8-и клас, въпреки че този подход е доста стандартен.

Ако някой учител по математика чете темата, би могъл да сподели.

За феновете на олимпиадната математика, горното съотношение може да се получи директно с Теорема на Менелай, без да се правят всички тези сметки.

AB/АP x PQ/QC x CL/LB = 1

7/2 х 3 х CL/LB = 1

CL/LB = 2/21

# 489
  • Мнения: 126
1/7=0,14, 1/6=0,16, 1/5=0,2 и т.н.
За първите хиляда тона машини се произвеждат 7 хиляди тона потребителски стоки. За вторите хиляда тона- 6 хиляди тона потребителски стоки (13-7) и т.н.
П.п. закръглени са явно до втория знак след десетичната
Много благодаря! Как ли не ги въртях числата и все не ги получавах

# 490
  • Мнения: 1
Здравейте, как да се обясни със знания за 3 клас тази задача:
Пипи, Томи и Аника събрали 30 круши. Аника дала половината на Томи, Томи дал 2 круши на Пипи, а Пипи дала 1 на Аника. Така крушите били поделени поравно. Колко са били крушите на Пипи в началота.
Благодаря!

# 491
  • Мнения: 9 252
Ако в края крушите са били поравно, то всеки е имал десет круши. Пипи е получила две и е дала една - х+2-1=10, х=9.

# 492
  • Мнения: 403
Може ли помощ за следната задача :

# 493
  • София
  • Мнения: 1 610
Може ли помощ за следната задача :

1 л = 1000 куб. см

200 000.0,8 = 160 000 г = 160 кг

# 494
  • Deutschland/HE
  • Мнения: 7 856
1l=1000 куб.см
200l=200 000 куб. см
Масата е равна на плътността по обема
Масата=200 000х0.8
М=160 000г
М=160кг

Общи условия

Активация на акаунт