СЕДМОКЛАСНИЦИ 2024/2025 - Тема 5 - Новата година мина, първи срок почти замина....

  • 30 437
  • 740
  •   1
Отговори
# 510
  • Отвъд алеята зад шкафа
  • Мнения: 8 208
Докъде са стигнали вашите деца с материала по БЕЛ и мат в училище? Има ли разминаване с школите?

# 511
  • Мнения: 119
По мат. в училище са до външен ъгъл на триъгълник. На частните уроци му показа трите признака за еднаквост, но като цяло вървят заедно с училищния материал. По Бел в училище са на съставни сказуеми, по лит. - Една българка /3 част/, а в школата взеха и Опълченците на шипка, и Български език. Тук вървят много напред, особено по литература и набора се обърква вече.

# 512
  • Мнения: 2 283
...

Задачите за построение няма да има, защото в седми клас няма урок за това, изпадна от програмата отдавна.
...
Според учебния план на Мон по математика, който аз намирам не е изпаднал този материал. https://www.mon.bg/nfs/2023/11/up_vii_math.pdf
В учебниците на различните издателства също е включено.
В модела за НВО не е изрично споменато като материал, който се включва, но не е казано и че е изключен, тъй като формулировките са общи.

Ако имаш някаква конкретна информация, че е отпаднало моля сподели.

# 513
  • Бургас
  • Мнения: 8 513
При нас по литература предстои "Опълченците на Шипка" и на двете места. По математика в училище са на успоредност на две прави, в школата не съм сигурна, ще погледна по-късно домашната за тази седмица.

Урок за построение има в нашия учебник, но е прескочен, госпожата казала, че ще го обясни в часа за консултации. Ама иначе си го търси решен в УТ за домашна.

# 514
  • София
  • Мнения: 431
При нас в училище предстои Една българка, по математика са на успоредни прави. Беше на пробен по БЕЛ в Примерно, 92т. Странно,  че същият резултат има и на общинския кръг на олимпиадата. Очакваме резултати и от пробния по математика. Вчера беше на пробен за АК, но се върна с оклюмал нос. Имало много задачи от геометрията, от невзет още материал. Леко се разколебава за кандидатстване там, да видим. Май се съмнява във възможностите си, ми се струва.

# 515
  • София
  • Мнения: 3 816
Браво, на Примерно май са една идея по-трудни от реалните, но аз нямам обективно лично мнение.

# 516
  • София
  • Мнения: 431
Браво, на Примерно май са една идея по-трудни от реалните, но аз нямам обективно лично мнение.
Аз мисля, че са много близки до реалните като трудност. Очуди ме съвпадението на резултата с този от олимпиадата.

# 517
  • Мнения: 2 712
Министърът дал идея да се раздели НВО на две части, едната трудна за отсяване за гимназиите, а другата лесна, за статистиката.
Може би има светлина в тунела, но за нас ще си е старата метода, където едно разсейване те изхвърля с четири точки, което прави осем точки от бала за езикова и 12 точки от бала за математическа.
Родителите на блейките и блейковците да леят куршум, да кадят  там каквото се кади, да си плюят в пазвата три пъти през пет минути, да скачат на един крак, изобщо да вземат строги мерки против блеене.
Аз , например,  храня три черни квартални котки, за да умилостивя лошия късмет

Последна редакция: чт, 06 фев 2025, 11:11 от Априлски душ

# 518
  • Мнения: 1 966
Ужасно е това с перфектния резултат на НВО - за математиката специално се оценява , колко си фокусиран и старателен , а не дали ти се отдава Sad. Моят ходи на пробни по МАТ в Междучасие - там е с 2 грешни още от първи модул - един минус не видял и те го питали за дължината на хипотенузата , а той наплякал катета. По БЕЛ ходи в Ния -79 т , за първа проба -бива. Госпожата му не е доволна - каза ,че отгоре на всичко на преразказа са му дали много точки, а той има грешки , които не  са отбелязани( 28 от 35) , но пък имало въпроси , на които не е съгласна ,че са грешни .Аз съм склонна да и вярвам,че все пак над 50 години стаж има жената и е подготвила чудесно доста близки деца.
Иначе и моят е много натоварен - сега е 2 -а смяна, но преди си беше по 4 дни от 7:30 до 14:05 , и краткия ден школа . По математика не ходи на школа ( то в СМГ ако не ги подготвят за тва НВО , то няма смисъл да се мъчи да остава там ) , а немският ще го пропусне тази година. Като му обясних какви точки трябва да изкара на НВО -тата за да остане в СМГ и му се прирева....вика , записвай ме на всички ПИ , докато не изкарам 99т по МАТ и 90 по БЕЛ ще ходя Wink . Е , не беше много за дълго ентусиазма де ....пак преразкази в последния момент , набързо , мърляво Sad Пак домашните се пишат , къде ,кога и както дойде...

# 519
  • София
  • Мнения: 3 943
gato, има урок за построителни задачи, но съвсем бегло показват как да се начертае триъгълник по три страни и нищо друго .
След урока задачите са пак такива.
Преди си имаше по-сериозни задачи.

# 520
  • София
  • Мнения: 13 724
Момичета, имам спешна нужда от помо по химия. Решавам с детето задачи за олимпиадата и в решенията има една формула, която се използва масово и не мога да си обясня. Обърнах два учебника да намеря тази зависимост и няма такава описана. Явно ще трябва да си я извеждам, ама вече съм далеч от химията. Ако ударите едно рамо на лични ще съм благодарна! Heart

# 521
  • София
  • Мнения: 431
За съжаление аз с химията не мога да помогна. Вчера разпечатах предишната година задачите, и решенията. Резултатът му беше отчайващ. Много от нещата не били учили. Не знам само как е постигнал 85% на общинския кръг. Вероятно задачите са били много лесни. Същото и по математика. Решихме да не се задълбаваме в олимпиадите излишно, каквото направи, това ще е. И без това по математика така препускат в училище, че изобщо не смогваме да упражним темата и у дома.

# 522
  • Мнения: 10 133
Мисля че ако дадеш тук формулата, вкупом все ще достигнем до обяснение ✔

# 523
  • София
  • Мнения: 13 724
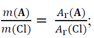
Мисля че ако дадеш тук формулата, вкупом все ще достигнем до обяснение ✔



Решение:



Въпрос:
Тази зависимост от къде е?

Последна редакция: пт, 07 фев 2025, 09:22 от Vache

# 524
  • Мнения: 657
Здравейте!
Благодаря за качените ПИ от Варна.
Не видях обаче да има отговорите. Очаква ли се да бъдат качени (може би не са върнати от школата оюе?)?

Общи условия

Активация на акаунт